Vaping Increases Your Risk of Prediabetes, Study Suggests : ScienceAlert
A new study has found that puffing on e-cigarettes may put you at increased risk for prediabetes. And people who smoke traditional cigarettes as well as the electronic kind may be adding to that risk by engaging in dual use.
Prediabetes is a condition where the level of sugar in your blood is higher than average, and it tends to occur before people develop type 2 diabetes. While prediabetes is reversible, it does mean that some heart, kidney, and nerve damage could already be underway.
It’s well-established that smokers are at higher risk for diabetes, but the effects of e-cigarettes (aka nicotine vapes) on blood sugar remain hazy.
In the hope of gaining some clarity, health economist Sulakshan Neupane from the University of Georgia led a team that analyzed more than 1.2 million data points, collected over the phone during a United States CDC survey.
With this data, Neupane and team explored the associations between prediabetes or diabetes and the use of e-cigarettes, either on their own or along with combustible cigarettes.
Related: Massive Study Links Vaping to a Much Higher Risk of Heart Failure
People whose sole nicotine intake was from e-cigarettes were 7 percent more likely to have prediabetes than nonsmokers. That equates to 7,000 extra cases of prediabetes per million e-cigarette users in the US.
Comparatively, people who exclusively smoked traditional nicotine products, like cigarettes and cigars, were 15 percent more likely to have prediabetes than nonsmokers.
And those who vaped and smoked were at the highest risk for prediabetes: 28 percent more than nonsmokers.
“E-cigarette use alone elevates the likelihood of prediabetes, with dual use conferring an additional risk. This study highlights potential compounding harm from using both product types,” Neupane says.
The team also found that those ‘dual users’ were at increased risk for full-blown diabetes: 9 percent above nonsmokers. This was greater than the risk for people who only smoke traditional cigarettes, whose risk was increased 7 percent above nonsmokers.
“In an era when e-cigarettes are marketed as a ‘safer’ alternative to smoking, this suggests they may carry a hidden peril and may be quietly contributing to long-term health problems like prediabetes and diabetes,” Neupane says.
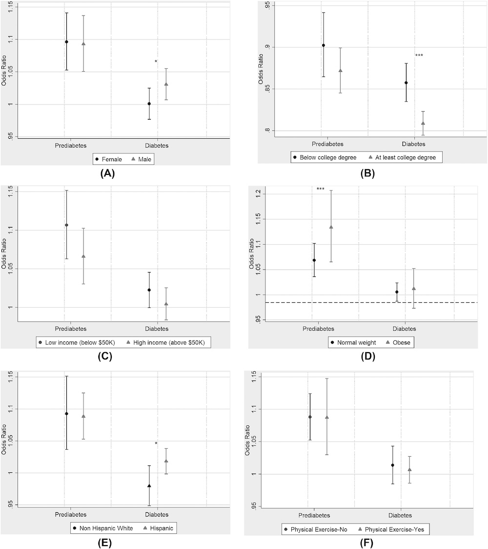
The study also found that e-cigarette users who were overweight or obese were at higher risk for prediabetes than users in a lower weight range. Hispanic, Black, and Asian people also experienced greater risk than White people.

There are several limitations to this study. For one, it’s observational, so there’s no way of knowing if vaping is the cause of prediabetes. It may be that some other factor puts people at higher risk for prediabetes, possibly by increasing their likelihood of taking up vaping.
“People who aren’t earning enough money experience mental stress and tend to smoke or use alcohol to reduce that stress, which leads to these increased risk factors,” Neupane says.
Self-reported health data isn’t necessarily accurate, and the information used here was collected over a short period of time, so it can’t provide any insights into change over time.
Nonetheless, these results emerge from a large cohort. Until people have been vaping for long enough to develop clear long-term side-effects, correlations and animal studies are the best we’ve got.
“As the use of e-cigarettes rises rapidly, it’s vital we understand their broader health impacts,” Neupane says. “This is not just about the lungs anymore but the entire body and metabolic health.”
This research was published in AJPM Focus.
First Appeared on
Source link